Notice
Recent Posts
Recent Comments
Link
| 일 | 월 | 화 | 수 | 목 | 금 | 토 |
|---|---|---|---|---|---|---|
| 1 | 2 | 3 | ||||
| 4 | 5 | 6 | 7 | 8 | 9 | 10 |
| 11 | 12 | 13 | 14 | 15 | 16 | 17 |
| 18 | 19 | 20 | 21 | 22 | 23 | 24 |
| 25 | 26 | 27 | 28 | 29 | 30 | 31 |
Tags
- LV02
- 일정관리 프로젝트
- Redis
- S3
- Java
- jvm
- 이것이 자바다
- CI/CD
- Kafka
- Join
- SQL
- 디자인 패턴
- LV01
- 코테
- 포트폴리오
- LV.02
- LV0
- 일정관리프로젝트
- 데이터 베이스
- 프로그래머스
- mysql
- 알고리즘
- JPA
- docker
- LV03
- spring boot
- GIT
- CoffiesVol.02
- Lv.0
- 연습문제
Archives
- Today
- Total
코드 저장소.
이항계수 본문
목차
1.개념: 이항계수란 무엇인가
2.적용: Java로 이항계수 계산하기
3.후기: 실제 코딩테스트 대비
1.개념: 이항계수란 무엇인가
이항계수는 n개 중 r개를 순서 없이 고르는 방법의 수를 의미합니다.
공식은 다음과 같습니다:

- 이항계수는 고등학교 확률과 통계 과목에서 배우는 기본 개념입니다.
- 코딩테스트에서는 조합 문제를 풀거나, 확률 계산 문제를 풀 때 필수적으로 등장합니다.
- 이항계수는 작은 수에서는 손으로 구할 수 있지만, n이 커지면 효율적인 계산법이 필요합니다.
2.적용: Java로 이항계수 계산하기
이항계수를 Java로 계산하는 방법은 문제 조건에 따라 선택해야 합니다.
2.1. 기본 방식: 팩토리얼로 직접 계산
간단한 경우에는 팩토리얼을 사용해서 직접 계산할 수 있습니다.
public static long factorial(int n) {
long result = 1;
for (int i = 2; i <= n; i++) {
result *= i;
}
return result;
}
public static long nCr(int n, int r) {
return factorial(n) / (factorial(r) * factorial(n - r));
}
주의:
- n이 크면 long 타입도 넘칠 수 있습니다.
- 시간이 오래 걸릴 수 있어 코딩 테스트에서는 거의 사용되지 않습니다
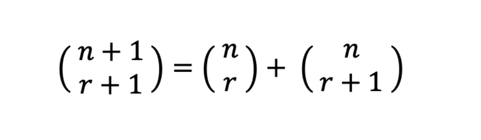
2.2. DP 방식: 파스칼 삼각형 이용
n과 r이 비교적 작을 때는 **동적 계획법(DP)**을 사용해 빠르게 계산할 수 있습니다.
파스칼 삼각형을 이용한 점화식:

public static int combination(int n, int r) {
int[][] dp = new int[n+1][r+1];
for (int i = 0; i <= n; i++) {
for (int j = 0; j <= Math.min(i, r); j++) {
if (j == 0 || j == i) {
dp[i][j] = 1;
} else {
dp[i][j] = dp[i-1][j-1] + dp[i-1][j];
}
}
}
return dp[n][r];
}
특징:
- 메모리를 많이 사용하지만 빠릅니다.
- n이 1000 이하일 때 실용적입니다.
2.3. 모듈러 방식: 10^9+7 나머지로 계산
n이 수십만~백만까지 커지는 경우, 그리고 나머지 연산이 필요한 경우 모듈러 연산을 사용해야 합니다.
static final int MOD = 1_000_000_007;
static final int MAX = 1_000_000;
static long[] fact = new long[MAX + 1];
static long[] inv = new long[MAX + 1];
static void precompute() {
fact[0] = 1;
for (int i = 1; i <= MAX; i++) {
fact[i] = (fact[i-1] * i) % MOD;
}
inv[MAX] = pow(fact[MAX], MOD-2);
for (int i = MAX-1; i >= 0; i--) {
inv[i] = (inv[i+1] * (i+1)) % MOD;
}
}
static long pow(long base, long exp) {
long result = 1;
while (exp > 0) {
if ((exp & 1) == 1) {
result = (result * base) % MOD;
}
base = (base * base) % MOD;
exp >>= 1;
}
return result;
}
static long nCr(int n, int r) {
if (r < 0 || r > n) return 0;
return (((fact[n] * inv[r]) % MOD) * inv[n-r]) % MOD;
}
특징:
- n이 1,000,000이어도 빠르게 계산 가능
- 대부분 코딩 테스트에서 요구하는 방식입니다.
3.후기: 실제 코딩테스트 대비
- 현실 코딩 테스트에서는 n과 r이 매우 크거나, 모듈러 연산 결과를 요구하는 경우가 많습니다.
- 따라서 단순 팩토리얼 방식은 거의 못 쓰고, DP 또는 모듈러 방식을 준비해야 합니다.
- 이항계수는 조합/확률 문제 외에도, 그래프 문제, 동적 계획법 문제, 경우의 수 계산 문제에 자주 등장합니다.